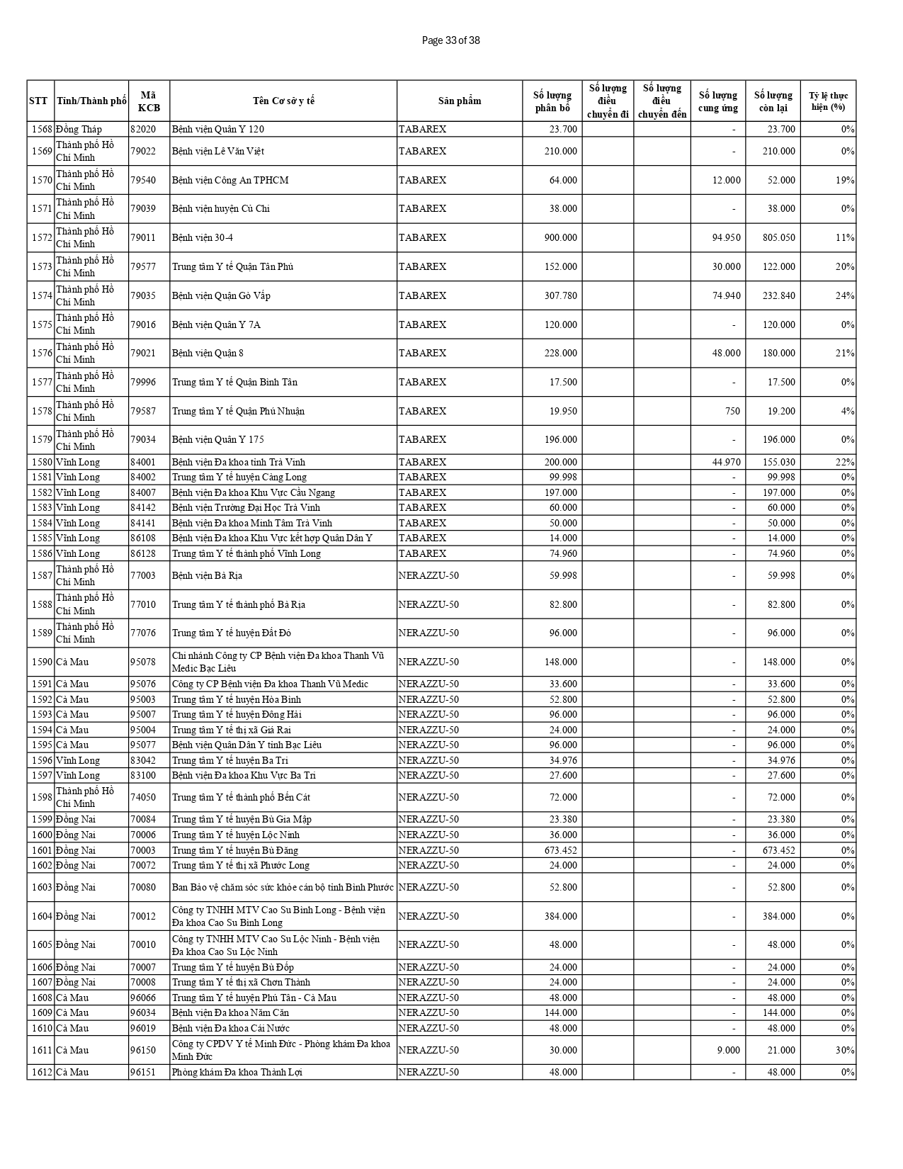
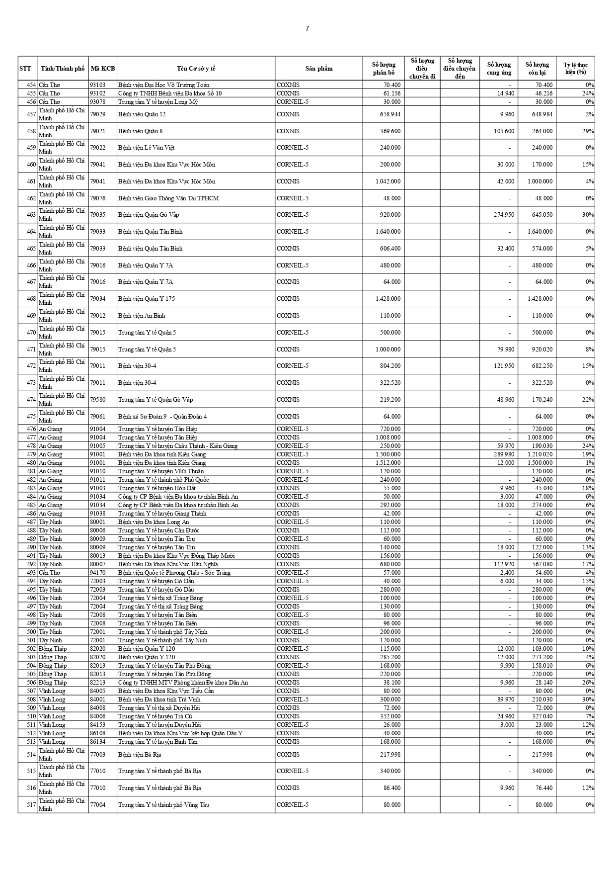
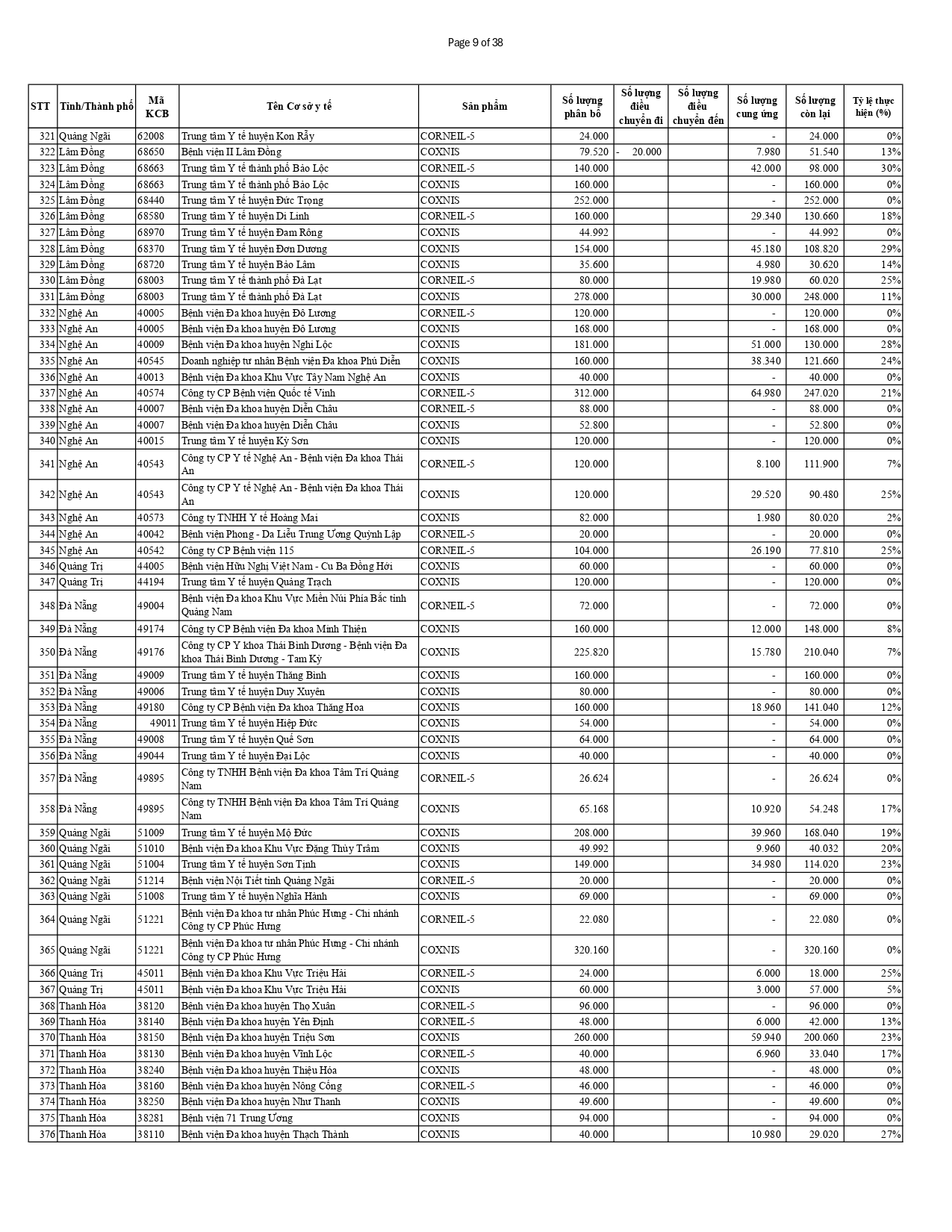
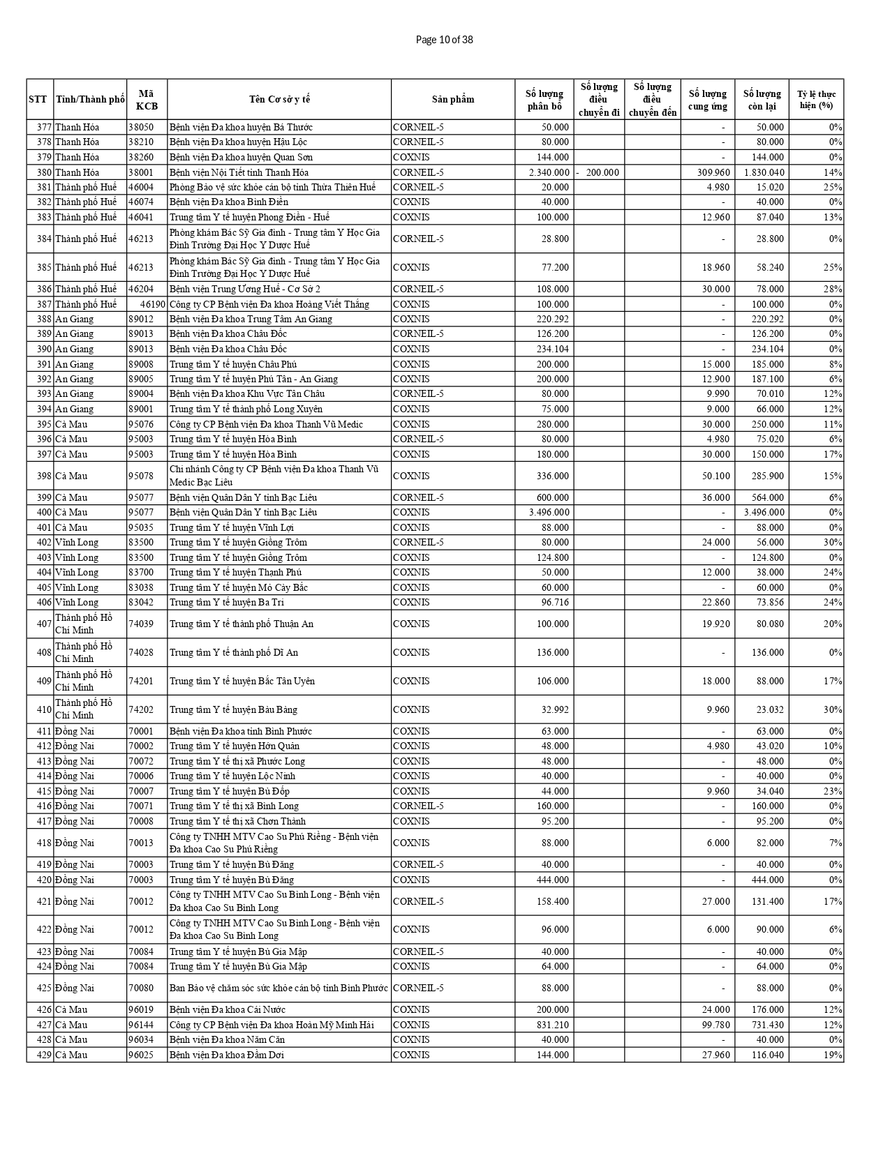
V/v tiến độ thực hiện kết quả các gói thầu tập trung thuốc cấp quốc gia giai đoạn 2024-2026

14/01/2026

 File đính kèm

CÔNG BÁO/Số 1097 + 1098

LUẬT XỬ LÝ VI PHẠM HÀNH CHÍNH

190/2025/NĐ-CP

Nghị định Sửa đổi, bổ sung một số điều của Nghị định số 118/2021/NĐ-CP ngày 23 tháng 12 năm 2021 của Chính phủ quy định chi tiết một số điều và biện pháp thi hành Luật Xử lý vi phạm hành chính được sửa đổi, bổ sung theo Nghị định số 68/2025/NĐ-CP ngày 18 tháng 3 năm 2025 của Chính phủ và Nghị định số 120/2021/NĐ-CP ngày 24 tháng 12 năm 2021 của Chính phủ quy định chế độ áp dụng biện pháp xử lý hành chính giáo dục tại xã, phường, thị trấn

189/2025/NĐ-CP

Nghị định Quy định chi tiết Luật Xử lý vi phạm hành chính về thẩm quyền xử phạt vi phạm hành chính

113/2025/NĐ-CP

Nghị định quy định chi tiết một số điều của Luật Lưu trữ

110/2025/NĐ-CP

Quy định Cơ sở dữ liệu về phòng, chống bạo lực gia đình

318/VPCQTT

V/v định hướng công tác tuyên truyền, đấu tranh phản bác về nhân quyền tháng 01/2026

1265/HD-BCĐ

HƯỚNG DẪN QUẢN LÝ NGƯỜI MẮC COVID-19 TẠI NHÀ

38/TB-UBND

Kết luận của UBND tỉnh Nguyễn Tấn Tuân kiêm Trưởng Ban Chỉ đạo phòng, chống dịch Covid-19 tỉnh Khánh Hòa tại cuộc họp Ban Chỉ đạo phòng, chống dịch Covid-19 ngày 25/01/2022

48/TB-UBND

Kết luận của Phó Chủ tịch UBND tỉnh Đinh Văn Thiệu kiêm Phó Trưởng Ban chỉ đạo phòng, chống dịch Covid-19 tỉnh Khánh Hòa tại cuộc họp Ban Chỉ đạo phòng, chống dịch Covid-19 ngày 11/02/2022

38/TB-UBND

Kết luận của Chủ tịch UBND tỉnh Nguyễn Tấn Tuân kiêm Trưởng Ban chỉ đạo phòng, chống dịch Covid-19 tỉnh Khánh Hòa tại cuộc họp Ban chỉ đạo phòng, chống dịch Covid-19 ngày 25/01/2022

3639/QĐ-BYT

Quyết định Về việc ban hành tài liệu chuyên môn “Hướng dẫn quy trình kỹ thuật về Huyết học” – Tập 1

3633/QĐ-BYT

Quyết định Về việc ban hành tài liệu chuyên môn “Hướng dẫn quy trình kỹ thuật về tạo máu và lympho - Tập 2.1”

3632/QĐ-BYT

Quyết định Về việc ban hành tài liệu chuyên môn “Hướng dẫn quy trình kỹ thuật về tạo máu và lympho - Tập 1.1”

3634/QĐ-BYT

Quyết định Về việc ban hành tài liệu chuyên môn “Hướng dẫn quy trình kỹ thuật về Răng Hàm Mặt – Tập 1”

3247 /QĐ-BYT

Quyết định Về việc ban hành tài liệu chuyên môn “Hướng dẫn quy trình kỹ thuật về Huyết học”

914/QĐ-SYT

Quyết định Về việc điều chỉnh một số nội dung của Quyết định số 754/QĐ-SYT ngày 15/10/2025 của Sở Y tế về việc phê duyệt kết quả lựa chọn nhà thầu qua mạng gói số 1: Gói thầu thuốc Generic thuộc kế hoạch lựa chọn nhà thầu cung cấp thuốc: Mua sắm tập trung thuốc cấp địa phương tỉnh Khánh Hòa năm 2025-2027 (lần 2)

843/QĐ-SYT

Quyết định Về việc điều chỉnh một số nội dung của Quyết định số 754/QĐ-SYT ngày 15/10/2025 của Sở Y tế về việc phê duyệt kết quả lựa chọn nhà thầu qua mạng gói số 1: Gói thầu thuốc Generic thuộc kế hoạch lựa chọn nhà thầu cung cấp thuốc: Mua sắm tập trung thuốc cấp địa phương tỉnh Khánh Hòa năm 2025-2027

754/QĐ-SYT

Quyết định Về việc phê duyệt kết quả lựa chọn nhà thầu qua mạng gói số 1: Gói thầu thuốc Generic thuộc kế hoạch lựa chọn nhà thầu cung cấp thuốc: Mua sắm tập trung thuốc cấp địa phương tỉnh Khánh Hòa năm 2025-2027

2741/QĐ-SYT

Quyết định Về việc thu hồi số công bố tiêu chuẩn áp dụng của thiết bị y tế thuộc loại A, B

1864/SYT-NVYD

Thu hồi thuốc Temozolomid Ribosepharm 100 mg

1380A/KSBT-TCHC

V/v mời chào giá thuê xe vận chuyển viên chức, người lao động đi công tác các huyện, thị xã, thành phố tỉnh Khánh Hòa

102/QĐ-KSBT

Quyết định Về việc công khai dự toán ngân sách nhà nước quý 1 năm 2025 của Trung tâm Kiểm soát bệnh tật tỉnh Khánh Hòa

04/QĐ-KSBT

Quyết định Về việc công khai dự toán ngân sách nhà nước quý 2 năm 2025 của Trung tâm Kiểm soát bệnh tật Khánh Hòa

167/QĐ-KSBT

Quyết định Về việc công khai dự toán ngân sách nhà nước Quý 3 năm 2025 của Trung tâm Kiểm soát bệnh tật Khánh Hòa

284/QĐ-KSBT

Quyết định Về việc ban hành Quy trình giao nhận, xuất kho thuốc Methadone

V/v THÔNG BÁO ĐÁP ỨNG THỰC HÀNH TỐT BẢO QUẢN THUỐC, NGUYÊN LIỆU LÀM THUỐC (LONG CHÂU 232)

33/2024/QH15

Luật Lưu trữ

310/BTTTT-ƯDCNTT

Công văn số 310/BTTTT-ƯDCNTT ngày 10/02/2012 của Bộ Thông tin và Truyền thông về việc hướng dẫn áp dụng bộ tiêu chí đánh giá cổng thông tin điện tử của cơ quan nhà nước

Tổng đài tư vấn các dịch vụ
Số ĐIỆN THOẠI
Thống kê
  • Đang truy cập169
  • Hôm nay7461
  • Tháng hiện tại385241
  • Năm hiện tại385241
  • Tổng lượt truy cập13579091
  • Xem tiếp >>
CHỦ ĐỘNG PHÒNG CHỐNG DỊCH BỆNH DO VI RÚT NIPAL
KHUYẾN CÁO PHÒNG BỆNH CHIKUNGUNYA
Liên kết website